
Name: Negative Temperature Coefficient (NTC) Thermistor TTC05103
■ Features
| Band: Thinking | Use: For Temperature Sensing/Compensation |
| Body Size: Ф05 mm | Operating temperature range: - 30℃ ~ +125℃ |
● ROHS compliant ● Halogen-Free(HF)series are available ● Radial lead resin coated ● Wide resistance range ● Cost effective | Agency recognition: UL&CUL File NO:E138827 CSA File ON: 97495 TUV File NO: R 50050155 CQC File NO:CQC05001011991;CQC05001011994
|
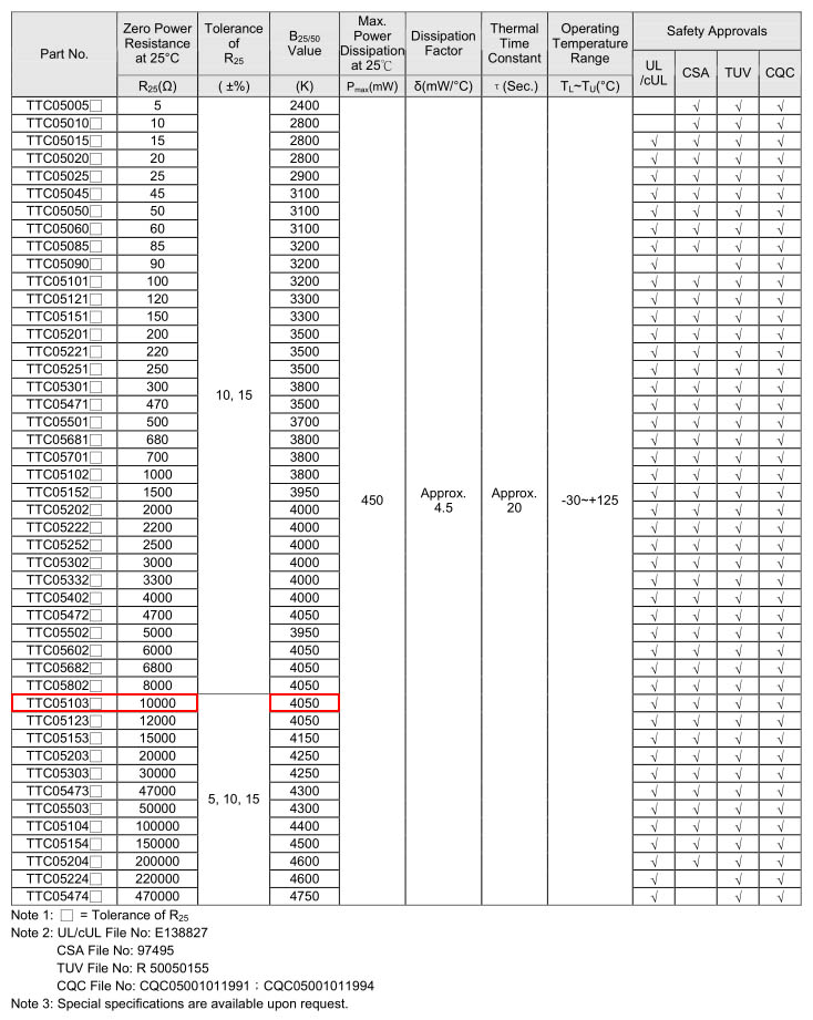
■ Electrical Characteristics (The same resistance value, the B value of different brands is
different, you can only choose the most similar one)

● TTC05103 is the hot model
● After you confirm the model, we will send you the samples and datasheet of this model
● Free samples
■ Part Number Code

● Full model example:TTC05103JSY ,TTC05103KSY
● Common Suffixes:JSY
■ Recommended Applications
1. Home appliances
2. Automotive electronics
3. Computers
4. Switch mode power supplies
5. Adapters
■ Structure and Dimensions (We can cut short the leads according to requirements)

■ Max.Power Dissipation Derating Curve

■ R-T Characteristic Curves(representative)

■ V-I Characteristic Curves(representative)


■ Soldering Recommendation

■ Reliability

■ Packaging

What are the advantages and disadvantages of different packaging methods for varistors?
■ Quantity

■ Warehouse Storage Conditions of Products

● We are so happy to answer any questions. send a message or E-mail to us. We will reply as soon as possible.
● Ordering process:Confirm the product and model → Send samples → Confirm samples and quotes → Test passed → Order+ payment → Manufacture+payment → Deliver
● Most importantly, we are responsible for air transport, 7 days can reach most cities in the world. you can get the goods quickly without any shipping costs
● For THINKING brand, We deliver the sample and the goods are the fastest, Common products can bedelivered on the same day,and the price is the most competitive, Yes, the procurement directly from China is so easy
How do we conduct after-sales service?
Copyright © Dongguan Shine Electronic Technique Co.,Ltd. All Rights Reseved.Site Index Product Index
Technical Support: 3xh1 web